石家庄东华铁路学校
0311-66576491
首页
学校简介
中专
招生简章
校园风采
学校新闻
招生资讯
在线报名
联系我们
首页
招生资讯
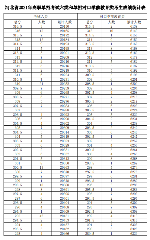
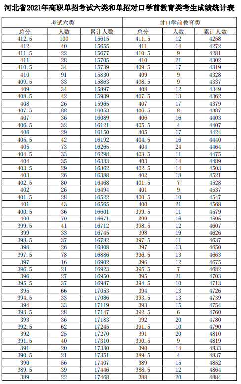
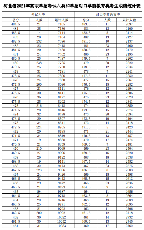
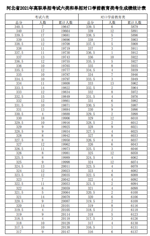
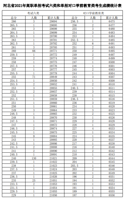
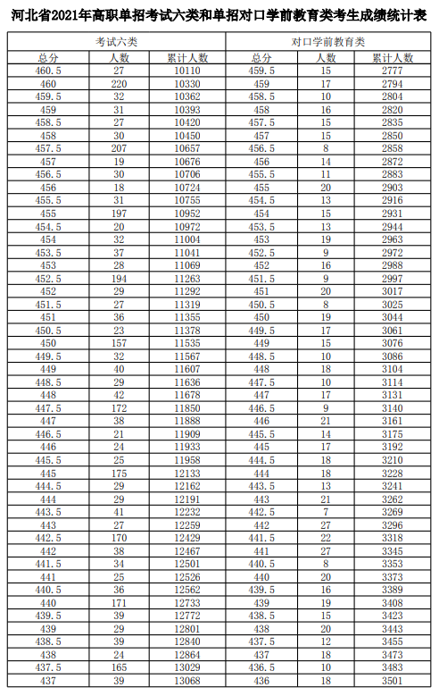
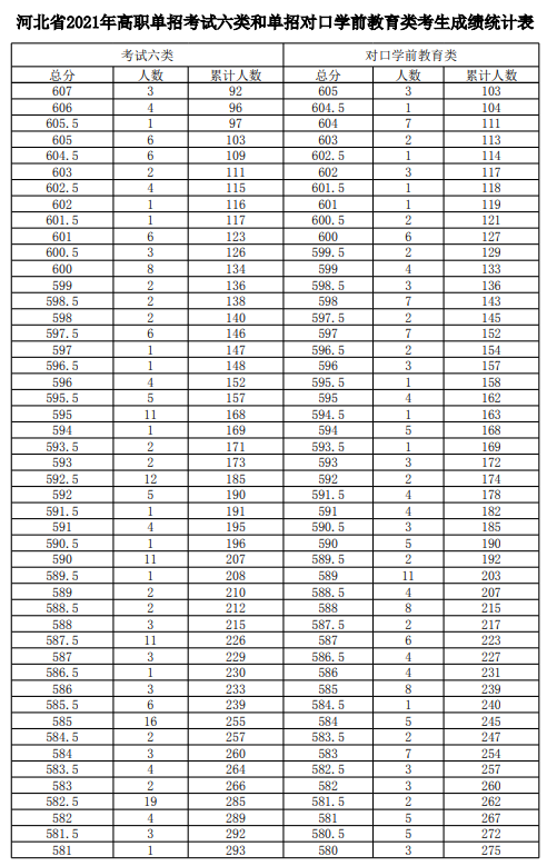
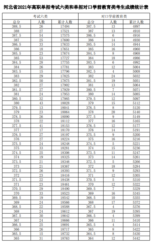
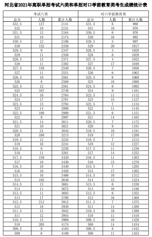
2021年河北省年高职单招考试六类和单招对口学前教育类考生成绩统计表
1552 阅读
本文分类:
招生资讯
本文标签:无
浏览次数:
1552
次浏览
发布日期:2021-04-15 20:47:02
本文链接:
https://www.dhtledu.com/zszx/82.html
上一篇 >
2021年河北省高职单招考试五类和对口旅游类一分一档统计表
下一篇 >
2021年河北省年高职单招考试七类和对口医学类成绩统计表
石家庄东华铁路学校2026年招生简章
石家庄东华铁路学校招生基本介绍
石家庄东华铁路学校2026年春季新生入学通知
石家庄东华铁路学校迎马年职工年会
微信
简章
top
电话
报名
返回
顶部